[コンプリート!] ネリプロクト軟膏 妊婦 使い方 190047-ネリプロクト軟膏 妊婦 使い方
· ネリプロクト 一般名 ジフルコルトロン吉草酸エステル, リドカイン 欧文一般名 Diflucortolone Valerate, Lidocaine 製剤名 ジフルコルトロン吉草酸エステル・リドカイン痔疾用軟膏 薬効分類名 痔疾用剤 · ネリプロクト軟膏の主な効果と作用 肛門部の出血、痛み、はれ、かゆみなどの症状をやわらげるお薬です。 炎症 をおさえ、粘膜を保護して傷を治す働きがあります。 ネリプロクト軟膏の用途 痔核の 腫脹 の緩解;ネリザ軟膏の主な効果と作用 肛門部の出血、痛み、はれ、かゆみなどの症状をやわらげるお薬です。 炎症 をおさえ、粘膜を保護して傷を治す働きがあります。;
ネリプロクト軟膏 2g 7個 1シート 販売 薬局アットマーク
ネリプロクト軟膏 妊婦 使い方
ネリプロクト軟膏 妊婦 使い方-1718 · ポステリザン軟膏の使い方 強力ポステリザン軟膏は1日1~3回おしりに使いますが、痔と肛門周辺の湿疹では使い方が違います。 使い方をまちがえると効きません。 強力ポステリザン軟膏の使い方 (痔への注入方法)Q3 軟膏やクリームを塗る量はどのくらい? 最近では1FTU(finger tip unit)という単位を用いて軟膏やクリームの塗る量を説明されることが多くなりました。 これは人差し指の先端から第一関節までチューブから絞り出した量が約05gで、両方の手のひらに塗る



ネリプロクト軟膏 坐剤の効果と副作用 痔疾患治療薬 医師監修
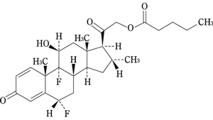
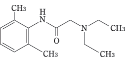
ネリプロクト軟膏は1週間分しか処方しちゃダメ? 強力ポステリザン(軟膏) マルホ株式会社; · 妊婦は塗り薬は使ってもいいの? 妊娠初期はホルモン ネリプロクト軟膏;剤形 坐剤,軟膏 製 剤 の 規 制 区 分 劇薬 規 格 ・ 含 量 ネリプロクト®坐剤:1個中,日局ジフルコルトロン吉草酸エステ ル02mg,日局リドカイン40mgを含有 ネリプロクト®軟膏:1g中,日局ジフルコルトロン吉草酸エステル 01mg,日局リドカインmgを含有
妊婦でも使える痔の市販薬 痔薬のなかには、ステロイドを 含まないものもありますよ。 市販薬の有名なものでは、 武田薬品の「 ボラギノールm 」 (ボラギノールaはステロイド含有です、ご注意くださいね。) 座薬、軟膏ともにステロイドは使われていネリプロクト軟膏 販売名コード M1026 承認・許可番号 承認番号 500AMY006 商標名 Neriproct Ointment 薬価基準収載年月 1993年8月 販売開始年月 1993年9月 貯法・使用期限等 貯法 高温を避けて保存 使用期限 外箱等に表示 規制区分 劇薬 組成 成分ネリプロクト 2g軟膏チューブ を使用されている方へ ネリプロクト軟膏の使い方 ネリプロクト 10g軟膏チューブ を使用されている方へ ネリプロクト軟膏の使い方 日本標準商品分類番号※ 255 薬価基準収載医薬品コード※
ステロイド外用剤の適正使用について くすり 21年6月2日更新 views ステロイド外用剤は皮膚の疾患の幅広い用途で使用する外用剤で、主には湿疹、虫刺され、その他さまざまな疾患の皮膚症状に用います。 ステロイド外用剤はその作用の強さにより5段階ネリプロクトとは?効能,副作用等を説明,ジェネリックや薬価も調べられる(おくすり110番薬事典版) おくすり110番 スポンサード リンク 投げ銭コナ成分(一般名) : ネリプロクト(製) 製品例 : ネリプロクト軟膏、ネリプロクト坐剤1906 · ネリプロクトは、痔による痛みなどの症状を一時的に抑える薬です。軟膏と座薬があります。 ステロイド薬と局所麻酔薬を配合しています。 この記事では、ネリプロクトの作用と使い方について解説します。 &



Pharma Navi Bayer Jp Sites G Files Vrxlpx9646 Files 21 01 Npc 12 0003 2g 1601 Pdf



ネリプロクト軟膏の基本情報 作用 副作用 飲み合わせ 添付文書 Qlifeお薬検索
プロトピック軟膏01% プロトピック軟膏003%小児用 プロトピック軟膏を使用される方へ 患者のみなさまへ 成人用 · ネリプロクト軟膏・坐剤は1993年から発売されている「痔疾患治療薬」という種類のお薬になります。その名の通り、痔の治療のために用いられるお薬になります。 ネリプロクトは強い効果を持つお薬で、高い効果が期待できますが、一方強力ポステリザン(軟膏) ダウンロード PDFファイル インタビューフォーム SGMファイル DTDファイル 副作用関連情報( 注意事項 ) 一般名(成分名)で検索 ・本検索は「一般名(成分名)」での部分一致検索です。



妊娠中の 痔 はよくあること 痔の体験記 Everything Is All Right 58



Pharma Navi Bayer Jp Sites G Files Vrxlpx9646 Files 21 01 Npc 12 0003 2g 1601 Pdf
ネリプロクト軟膏の添付文書 医薬情報QLifePro 添付文書検索 相互作用 飲食品相互作用 薬価比較 一般向けお薬検索 先発 後発 よく見られている薬剤 1 ゲンタマイシン硫酸塩軟膏0.1%「タイヨー」妊婦さんに向けての注意事項が記載されていない物なら大丈夫! 気になる場合は医療機関での相談を いかがでしたか? 妊娠中の塗り薬は用法容量を守り、正しい使い方をすれば使用しても大丈夫で0929 · 目次1 ネリプロクト軟膏は1週間まで?11 ポステリザン軟膏と強力ポステリザン軟膏の違いは ネリプロクト軟膏は1週間まで? 個別指導の指摘事項を見ていたら、「投与期間の上限が設けられているが、その上限を超えて投薬されて



妊娠30週 処方された ネリプロクト軟膏 に劇薬の文字が 妊婦も使って大丈夫 専門家q A たまひよ



ネリプロクト 痔治療薬 介護 福祉 医療 医薬品 漢方薬 健康 美容関連の新着情報



妊娠30週 処方された ネリプロクト軟膏 に劇薬の文字が 妊婦も使って大丈夫 専門家q A たまひよ



1



Www Ltl Pharma Com Common Pdf Nerisona Neriproct Pdf



妊娠30週 処方された ネリプロクト軟膏 に劇薬の文字が 妊婦も使って大丈夫 専門家q A たまひよ



ぱだとあおだけ 注入タイプの痔核 いぼ痔 のお薬の使い方



Http Www J Dolph Co Jp Data Info H22 Rzrn01 Pdf



ネリプロクト Japaneseclass Jp



妊娠30週 処方された ネリプロクト軟膏 に劇薬の文字が 妊婦も使って大丈夫 専門家q A たまひよ 妊娠30週 ベビーカー 妊娠



処方のネリプロクト軟膏に劇薬の文字が妊婦も使って大丈夫



ネリプロクト軟膏の添付文書 医薬情報qlifepro



ボラザg坐剤の基本情報 作用 副作用 飲み合わせ 添付文書 Qlifeお薬検索



妊婦検診28週と痔の薬ゲット ぴよりん日和



Images Of ネリプロクト Japaneseclass Jp



処方のネリプロクト軟膏に劇薬の文字が妊婦も使って大丈夫



ネリプロクト Japaneseclass Jp



セルフメディケーション 痔 E健康ショップ



Amazon 指定第2類医薬品 ボラギノールa注入軟膏 2g 10 ボラギノール 痔の薬



ネリプロクト軟膏は1週間分しか処方しちゃダメ



みんなのお薬箱 みんなのお薬箱



ネリプロクト軟膏 時事戯言 炎症性腸疾患 クローン病 潰瘍性大腸炎 闘病ブログ



ネリプロクト軟膏 劇 2g 14 Family Pharmacy Global



ネリプロクト軟膏 坐剤の効果と副作用 痔疾患治療薬 医師監修



ネリプロクト軟膏 10g 1 Family Pharmacy Global



強力ポステリザン 軟膏 2g 350本 マルホ Focus フォーカス インターネットショップ Medical



ネリプロクト Japaneseclass Jp



Q Tbn And9gcto0l5fk Moi4zzkuv7unyqbc6bek4p6l2lebzzrlhvtu4jilqd Usqp Cau



ネリゾナ ネリプロクト続報 一部規格の供給再開に ぶきっちょ薬剤師が今日もいく



Q Tbn And9gctcuckyl Bvlxts5ztiqcohyfycnw Qje4t1cqkbwb4b4kqb6ag Usqp Cau



Www Ltl Pharma Com Common Pdf Nerisona Neriproct Pdf



Ekr68an78h Shop Premium P Medi Detail Php Pre Id 297



ネリプロクト軟膏 坐剤は痔に効く 効果的な塗り方 使い方はこう めでぃすた 薬局薬剤師のブログ



ネリプロクト軟膏 Carada 健康相談 医師や専門家に相談できる医療 ヘルスケアのq Aサイト



ネリゾナ ネリプロクトが出荷調整に ぶきっちょ薬剤師が今日もいく



ステロイド入り 痔疾用 外用薬の強さ 服薬指導のエッセンス 薬剤師のための患者さんへの接し方と服薬指導



ネリプロクトの新着記事 アメーバブログ アメブロ



処方のネリプロクト軟膏に劇薬の文字が妊婦も使って大丈夫



処方のネリプロクト軟膏に劇薬の文字が妊婦も使って大丈夫



ネリプロクト Ltlファーマ株式会社



ネリプロクト Ltlファーマ株式会社



みんなのお薬箱 みんなのお薬箱



1



ネリプロクト Japaneseclass Jp



Www Ltl Pharma Com Common Pdf Product Neriproct Neriproct Oint Mat Pdf



Amazon 指定第2類医薬品 ボラギノールa注入軟膏 2g 10 ボラギノール 痔の薬



ネリザ軟膏の基本情報 作用 副作用 飲み合わせ 添付文書 Qlifeお薬検索



ネリゾナクリーム 0 1 ネリゾナユニバーサルクリーム 0 1 ネリプロクト軟膏の一部規格の供給が再開に ぶきっちょ薬剤師が今日もいく



坐剤 注入軟膏の使い方 おしりのトラブル豆知識 痔には止まって留まる プリザ 大正製薬



2



ネリプロクト軟膏結構いいな 写真共有サイト フォト蔵



ネリプロクト 痔治療薬 介護 福祉 医療 医薬品 漢方薬 健康 美容関連の新着情報



ももりこチャンネル 37週 妊婦健診



痔の薬の使い方 痔の総合情報サイト 痔 Web



症状にあわせて選べる3つのタイプ ボラギノール公式ブランドサイト



オオギ薬局 処方箋なしで病院の薬が買える薬局 東京 神田店 恵比寿店 ネリプロクト軟膏



処方のネリプロクト軟膏に劇薬の文字が妊婦も使って大丈夫



ボラギノールa注入軟膏 ボラギノール公式ブランドサイト



ネリプロクト軟膏は妊婦さんも使用ok 効果と使い方



Pharma Navi Bayer Jp Sites G Files Vrxlpx9646 Files 21 01 Npc 12 0003 2g 1601 Pdf



処方のネリプロクト軟膏に劇薬の文字が妊婦も使って大丈夫



プロクトセディル軟膏 坐薬の痔出血改善効果と使い方 めでぃすた 薬局薬剤師のブログ



強力ポステリザンの作用機序 痔の治療薬



処方のネリプロクト軟膏に劇薬の文字が妊婦も使って大丈夫



ネリプロクト軟膏 2g 7個 1シート 販売 薬局アットマーク



ネリプロクト軟膏10gの通販 ラクマ



妊娠30週 処方された ネリプロクト軟膏 に劇薬の文字が 妊婦も使って大丈夫 専門家q A たまひよ



ネリプロクト軟膏の添付文書 医薬情報qlifepro



処方のネリプロクト軟膏に劇薬の文字が妊婦も使って大丈夫



処方のネリプロクト軟膏に劇薬の文字が妊婦も使って大丈夫



ネリザ軟膏 劇 2g 14 Family Pharmacy Global



Kenkyuukai M3 Com Journal Filepreview Journal Asp Path Sys 5cjournal 5c 2d8b34ef538ac5312b42fa1327d96fc27ef16b 2epdf Sid 1412 Id 04 Sub Id Cid 471



処方のネリプロクト軟膏に劇薬の文字が妊婦も使って大丈夫



処方のネリプロクト軟膏に劇薬の文字が妊婦も使って大丈夫



強力ポステリザン 軟膏 の基本情報 作用 副作用 飲み合わせ 添付文書 Qlifeお薬検索



妊娠30週 処方された ネリプロクト軟膏 に劇薬の文字が 妊婦も使って大丈夫 専門家q A たまひよ



オオギ薬局 処方箋なしで病院の薬が買える薬局 東京 神田店 恵比寿店 痔疾 痔核等の薬



みんなのお薬箱 みんなのお薬箱



ネリプロクトの新着記事 アメーバブログ アメブロ



妊娠30週 処方された ネリプロクト軟膏 に劇薬の文字が 妊婦も使って大丈夫 専門家q A たまひよ



痔の薬の使い方 痔の総合情報サイト 痔 Web



痔の薬 薬局アットマーク 新潟で医療用医薬品を処方箋なしで販売する薬局



ネリプロクト軟膏 坐剤は痔に効く 効果的な塗り方 使い方はこう めでぃすた 薬局薬剤師のブログ



ネリゾナ ネリプロクト供給の再開への動き ぶきっちょ薬剤師が今日もいく



ヘモポリゾン軟膏 2g 70本 ジェイドルフ製薬 Focus フォーカス インターネットショップ Medical



処方のネリプロクト軟膏に劇薬の文字が妊婦も使って大丈夫



ヘモレックス軟膏 2g 70入 薬の個人輸入 空詩堂



処方のネリプロクト軟膏に劇薬の文字が妊婦も使って大丈夫



ネリプロクト軟膏 2g 140本 劇薬 バイエル 歯科材料お買い物サイト メイプルショップ



Www Ltl Pharma Com Common Pdf Product Neriproct Neriproct Oint Mat Pdf



妊娠30週 処方された ネリプロクト軟膏 に劇薬の文字が 妊婦も使って大丈夫 専門家q A たまひよ



ネリプロクト坐剤の基本情報 作用 副作用 飲み合わせ 添付文書 Qlifeお薬検索



処方のネリプロクト軟膏に劇薬の文字が妊婦も使って大丈夫



Pharma Navi Bayer Jp Sites G Files Vrxlpx9646 Files 21 01 Npc 12 0003 2g 1601 Pdf



ネリプロクト軟膏の添付文書 医薬情報qlifepro



ネリプロクト坐剤 ネリゾナユニバーサルクリーム0 1 の2 規格が供給再開に ぶきっちょ薬剤師が今日もいく



処方のネリプロクト軟膏に劇薬の文字が妊婦も使って大丈夫



処方のネリプロクト軟膏に劇薬の文字が妊婦も使って大丈夫



痔になり初めて病院に行ってみた Zapzap



くすりのしおり 患者向けわかりやすい情報

コメント
コメントを投稿